Estabilidad de Sistema Aplicado en Polos y Ceros PDF Número complejo Ecuaciones
De ahí que una condición necesaria para la estabilidad de BIBO es que la respuesta de impulso se extingue con el tiempo, es decir, limt→∞ g(t) = 0 lim t → ∞ g ( t) = 0. La respuesta al impulso contiene los modos de respuesta natural del sistema y se da como: g(t) = ∑i=1n Aiepit (2.3.2) (2.3.2) g ( t) = ∑ i = 1 n A i e p i t.
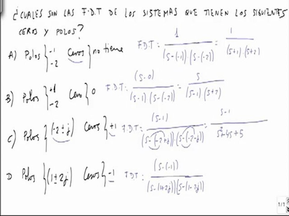
Determinar la funcion de transferencia dados los ceros y polos Vídeo Dailymotion
Descripción. pzmap(sys) crea una gráfica de polos y ceros del modelo de sistema dinámico de tiempo continuo o discreto sys. x y o representan los polos y los ceros, respectivamente, tal y como se muestra en la siguiente figura. De acuerdo la figura anterior, un sistema de lazo abierto lineal de tiempo invariante es estable si: En tiempo.
Diagrama de poloszeros y respuesta al impulso en MATLAB YouTube

Estabilidad de Sistemas Dinámicos De los Polos y Ceros a la Teoría de Estabilidad de Lyapunov La estabilidad es la capacidad que tienen los sistemas dinámicos para mantenerse en equilibrio o regresar a su posición natural cuando son afectados por una perturbación. Para los sistemas de control, ¿cómo se puede saber si son estables a.
Filtros

Link de Documentos: https://sistemasdinamicoscontrol.wordpress.com/
Polos y Ceros en el origen Diagramas de Bode YouTube

En el análisis de sistemas lineales, los polos y los ceros del sistema desempeñan un papel crucial en la determinación de su estabilidad. Los polos son los valores de la variable compleja s que hacen que el denominador de la función de transferencia del sistema sea igual a cero. Estos determinan el comportamiento dinámico del sistema y su.
CONTROLADOR PI Asignación de Polos [FÁCIL Aprende]

Tutorial POLOS Y CEROS EN SISTEMAS.SUSCRÍBETE!! DA CLIC aquí:👉https://rb.gy/bj7ath📲Síguenos en las diferentes redes sociales Facebook: http://www.facebook..
Análisis de polos y ceros. Estabilidad de un sistema de control. YouTube

Examinar la ubicación de polos y ceros puede ser útil para tareas como el análisis de estabilidad o la identificación de pares de polos y ceros casi cancelados para simplificar el modelo. Este ejemplo compara dos sistemas de lazo cerrado que tienen la misma planta y diferentes controladores. Cree modelos de sistemas dinámicos que.
Análisis temporal de sistemas de primer y segundo orden Polos y Ceros YouTube

Se aborda el concepto de polos y ceros y cómo estos se relacionan para. En este video se muestra la forma más simple de entender la función de transferencia.
Polos y Zeros de una Función de Transferencia en Matlab YouTube

Teorema \(\PageIndex{2}\) Nyquist criterion. Supongamos que \(G(s)\) tiene un número finito de ceros y polos en el medio plano derecho. También supongamos que \(G(s)\) decae a 0 como \(s\) va al infinito. Entonces el sistema de bucle cerrado con factor de retroalimentación \(k\) es estable si y solo si el número de bobinado de la gráfica Nyquist alrededor \(w = -1\) es igual al número de.
Estabilidad de sistemas discretos

El plano Z. Una vez que se han encontrado los polos y ceros para una Transformación Z dada, se pueden trazar en el Plano Z. El plano Z es un plano complejo con un eje imaginario y real que hace referencia a la variable de valor complejo \(z\).La posición en el plano complejo viene dada por \(re^{j \theta}\) y el ángulo desde el eje positivo real alrededor del plano se denota por \(\theta\).
Solved La siguiente figura representa el diagrama de polos y

Recuerde: - La función de transferencia es la trasformada de Laplace de la respuesta al impulso. - La función de transferencia es una fracción. - Si se iguala el denominador a cero se obtiene la ecuación característica. - Las raíces de la ecuación característica se llaman polos. - Las raíces del numerador se llaman ceros.
Ceros, polos y ganancia estática Definición de sistemas lineales en Octave

1) El documento discute la estabilidad de sistemas de control a través del análisis de polos y ceros. 2) Explica que un sistema es estable si todos sus polos se ubican en el lado izquierdo del plano-s y que la ubicación de los ceros no afecta la estabilidad. 3) Describe el criterio de Routh-Hurwitz como un método para determinar la estabilidad de un sistema sin calcular directamente los polos.
4 Red de adelanto RLC y su correspondiente diagrama de polos y ceros. Download Scientific Diagram

B. Estabilidad del sistema usando Raíces, Polos y Ceros La estabilidad de un sistema es una propiedad de fundamental importancia para los ingenieros. Podemos ver a un sistema estable como aquel que permanece en reposo cuando no es estimulado y luego de quitarle una estimulación retoma el reposo conforme el tiempo tiende a infinito.
¿Fuente de polos y ceros en un sistema físico?

Estabilidad. Podemos definir un sistema como estable cuando su salida está acotada. Es decir, que su salida no es ±∞ sino un valor concreto. También podríamos definir a un sistema estable que evoluciona de un modo similar a la variable de entrada. Para analizar mejor la estabilidad primero hemos de hacer una distinción: sistemas en bucle.
Comprender el papel de los polos y los ceros en la estabilidad del sistema — Eightify

Estabilidad. En el diseño de cualquier sistema de control de un proceso dinámico, la estabilidad es uno de los principales parámetros a tener en cuenta, ya que en el caso de entrar en inestabilidad se puede producir el deterioro y destrucción del proceso. Se puede decir que un sistema o proceso es estable si, ante una señal de entrada.
Diagrama De Polos Y Ceros

Definición: Polos de función de transferencia. Las raíces del polinomio denominador,, d(s) definen los polos del sistema, es decir, aquellas frecuencias en las que la respuesta del sistema es infinita. Por lo tanto, p0 es un polo de la función de transferencia si G(p0) = ∞. A continuación se describen los polos y ceros de los modelos de.